JUL 24 2023
DepEd MEMORANDUM
No. 040, s. 2023
ADMINISTRATION OF THE EDUCATIONAL MANAGEMENT TEST
To: Undersecretaries
Assistant Secretaries
Minister, Basic, Higher and Technical Education, BARMM
Bureau and Service Directors
Regional Directors
Schools Division/City Superintendents
Public and Private Elementary and Secondary School Heads
All Others Concerned
1. As per DepEd Order (DO) No. 88, s. 2012 titled Conduct of the Schools Division Superintendents Examination, the Schools Division Superintendents Examination, also known as the Educational Management Test (EMT), shall be administered by the Department of Education (DepEd), through the Bureau of Education Assessment (BEA), this August in the National Capital Region. The date of the administration will be announced in a separate memorandum.
2. Regional, division, and district supervisors, public elementary and secondary school principals, division chiefs in the bureaus/services in the central office and regional offices, administrators, and professors in the private colleges and universities, who hold Certificate of Registration as professional teachers issued by the Professional Regulatory Commission (PRC) shall be allowed to take the test upon the filing of applications provided that they meet the qualifications in Item 3.
3. Applicants must possess the following qualifications and submit the corresponding requirements:
|
|
|
a. Education | At least a Master of Arts (MA), Master of Arts in Education (MAEd), Master of Arts in Teaching (MAT), or any related master's degree with an educational specialization | Transcript of Records |
b. Experience | At least five years of experience in administration and instructional supervision with a salary grade of at least P3 (SG 21) | Service Record |
c. Performance | Duly certified ratings for the last two semesters which must be at least Very Satisfactory (VS) | Performance Rating
|
d. Eligibility | Career Executive Service Eligible (CESE), Career Service Executive Eligible (CSEE), and passers of the Career Executive Office (CEO) Written Examination | Certification by Civil Service Commission (CSC) or Career Executive Service Board (CESB) |
e. Age | Not beyond 61 years old on the date of examination | Not applicable |
4. The examination shall cover the following domains:
a. Educational Leadership and Management (ELM);
b. Policy Action and Strategic Planning (PASP);
c. Curriculum, Instruction, and Management (CIA);
d. Research and Evaluation (RE); and
e. Integration (Essay).
5. The following steps shall be strictly observed:
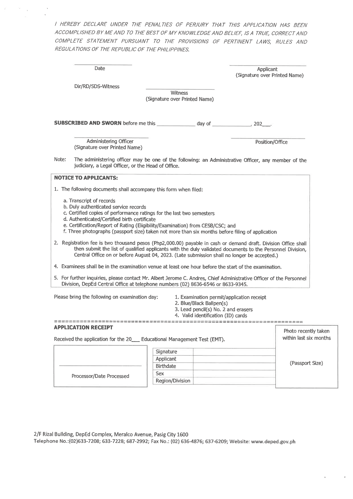
a. Applicants shall apply online by accessing the 2023 EMT Application link: bit.ly/2023-EMT. The applicants must accomplish the 2023 EMT Application Form and submit the same together with the required documents on or before August 04, 2023. The requirements shall be in PDF format.
b. The Bureau of Human Resource and Organizational Development Personnel Division (BHROD-PD) shall evaluate the qualifications and completeness of the required documents. Applicants shall be notified of the results of the evaluation through their email addresses.
c. The list of qualified EMT takers shall be sent to the respective region and/or schools division office (SDO).
d. Qualified applicants must pay the registration fee of Two Thousand Pesos (P2,000) only to the Division Collecting Officers.
e. All EMT registration fee collections (supported by an official list of examinees certified by the schools division superintendents [SDS]) shall be remitted intact to the Cash Division Central office, either through cash or demand draft. Likewise, the designated BEA collecting officer shall issue an official receipt (OR) to acknowledge receipt of collections.
f. Collections shall be deposited to the Land Bank of the Philippines (LBP)- NETRC Trust Account No. 3342-1010-3.
g. Applicants are required to email a copy of their deposit slip, or screenshot of the bank transfer as proof of payment through the 3rdlevel@deped.gov.ph.
6. Examinees are required to be at the testing venue at least one (1) hour before the start of the examination which shall be at exactly 8:00 a.m.
7. On the day of the examination, examinees shall submit their duly accomplished and signed EMT Application Form to the BHROD-PD staff/Registration Area.
8. Disbursements which are chargeable to said collections shall be subject to existing auditing and accounting rules and regulations.
9. Immediate dissemination of this Memorandum is desired.
By Authority of the Secretary
(SGD) GINA O GONONG
Undersecretary
Encl.:
As stated
Reference:
DepEd Order (Nos. 88, s. 2012) and 15, s. 2015
027 and 037, s. 2015
To be indicated in the Perpetual Index
under the following subjects:
EXAMINATION
OFFICIALS
QUALIFICATIONS
REQUIREMENTS
SUPERINTENDENTS
TEACHERS
TEST
Educational Management Test (EMT) Application Form
A full copy of DepEd Memorandum No. 040, s. 2023 below and Enclosures:





0 Comments